
TÊN TÁC GIẢ/ NHÓM TÁC GIẢ
Nguyễn Long Hoàng, Phạm Thanh Thảo Nguyên, Nguyễn Hoàng Phong, Lâm Hiền Xương, Trần Tường Vy – Trường Đại học Bách Khoa ĐHQG-HCM
Võ Viết Tiến – Trường Đại học Tôn Đức Thắng TP HCM
VẤN ĐỀ CẦN GIẢI QUYẾT
Mất ngủ và Stress hiện đang trở thành một vấn đề nhức nhối mà hậu quả thảm khốc của nó ngày càng xuất hiện dày đặc trên các mặt báo. Nghiên cứu về tâm lý của tổ chức “Global Relaxation” chỉ ra rằng rằng hơn 51% người dân trên thế giới ngủ ít hơn họ cần (hay nói khác đi là thiếu ngủ); trung bình một người lao động dành tới 7 ngày một năm chỉ để bước vào giấc ngủ (khó ngủ); 80% người dân trên thế giới dùng 2 ngày cuối tuần để ngủ bù cho 5 ngày làm việc [1]. Từ các số liệu trên có thể dễ dàng thấy rằng, “giấc ngủ tự nhiên” của mỗi người trong chúng ta đang bị đe dọa nghiêm trọng.

Hình 1. Hiện trạng về giấc ngủ của các quốc gia trên thế giới.
Theo thống kê của Bộ Y tế năm 2020, cả nước có đến 15% dân số có các vấn đề về sức khỏe tâm thần, đặc biệt là các rối loạn lo âu, trầm cảm, gây ảnh hưởng tới sức khỏe cũng như chất lượng cuộc sống.
Đáng báo động khi số người bị stress ngày càng có chiều hướng gia tăng và phần lớn trong độ tuổi lao động. Trong 10 bệnh tâm thần thường gặp như trầm cảm, động kinh, rối loạn lo âu, stress, tâm thần phân liệt…, bệnh nhân dưới 30 tuổi chiếm tới 40%.
Có nhiều nguyên nhân khiến các bệnh về tâm thần gia tăng, trong đó nguyên nhân chính là do sức ép trong công việc, học tập, sự nghiệp… Stress kéo dài gây ra những hệ lụy rất lớn cho người bệnh. Có hơn 90% số người tự tử là do bị rối loạn lo âu. Cùng với đó, chi phí y tế để điều trị rối loạn cũng cao gấp 3 lần các bệnh nội khoa thông thường.

Hình 2. Thông tin về stress tại Việt Nam
Tuy nhiên, vấn đề này chỉ được giải quyết “tạm thời” bằng các loại thuốc ngủ. Nhược điểm của chúng là gây ra hàng loạt tác dụng phụ (đau đầu, nôn ói, đau bao tử, liệt cơ,…); khiến người dùng phụ thuộc vào thuốc (không có thuốc không ngủ được và phải tăng liều liên tục) [2] và chi phí rất cao. Không những thế, dây chuyền sản xuất các loại thuốc này gây ô nhiễm môi trường ở mức rất khó phục hồi, để lại một vấn nạn lớn chưa có lời giải. Cây lục lạc lá ổi dài (Crotalaria assamica Benth.) là loài thực vật phổ biến, dễ trồng, với nhiều loại hoạt chất quý [3], tuy nhiên chưa có rất hạn chế nghiên cứu trong và ngoài nước nghiên cứu về loại dược liệu này. Cây Lục lạc lá ổi dài thường phân bố ở các vùng có khí hậu ôn đới và cận ôn đới ở Việt Nam như Tây Nguyên, Đà Lạt, Lạng Sơn,… Trong quá trình nghiên cứu, nhóm đã phát hiện ra hàng loạt tính chất mới của cây nhưng tác dụng an thần giải lo âu, hoạt tính kháng ôxi hóa và hoạt tính kháng khuẩn là nổi bật nhất [4]. Cùng với đó, nhóm đã tối ưu hóa thành công quy trình chiết xuất loại dược liệu này, thử nghiệm độc tính cấp (độ an toàn), đôc tính bán trường diễn (tác dụng phụ) và hoạt tính an thần trên mô hình in vitro (dòng tế bào) và in vivo (chuột) và kết quả cho thấy sản phẩm vượt trội hoàn toàn các sản phẩm trên thị trường. Không những thế, quy trình sản xuất mới của nhóm rất thân thiện với môi trường, góp phần làm giảm giá cả, phù hợp với người tiêu dùng. Cuối cùng, từ loại dược liệu này có thể sản xuất đa dạng các loại sản phẩm khác nhau (trà túi lọc, trà latte hay trà lạnh) và được 85% người tiêu dùng yêu thích khi khảo sát sợ bộ (170/200).

Hình 3. Cây lục lạc lá ổi dài.
ĐÃ CÓ NHỮNG GIẢI PHÁP NÀO HIỆN NAY ĐỂ XỬ LÝ VẤN ĐỀ TRÊN
ĐỐI THỦ CẠNH TRANH
+ Các thuốc an thần kê theo chỉ định (ETC): Diazepam, Lorazepam, Alprazolam, …
- Kê theo chỉ định, nhiều tác dụng phụ, giá rất cao và đặc biệt là gây “nghiện thuốc”, phụ thuộc vào thuốc, không có thuốc thì không ngủ được
+ Các thuốc an thần không kê đơn (OTC): Stilux-60, Mimosa, Rotunda, …
+ Các dòng thực phẩm chức năng: Lanui, trà Atiso, trà Bình vôi, trà Tâm sen, …
- Hiệu quả an thần thấp, có một số tác dụng phụ, giá cao.
LỢI THẾ CẠNH TRANH CỦA DỰ ÁN
+ Nguyên liệu tiềm năng, giàu dược tính nhưng chưa có công trình nghiên cứu chuyên sâu cả trong và ngoài nước. (nhóm đi tiên phong trong công nghệ chiết xuất và sản xuất sản phẩm này).
+ Đã được thử nghiệm lâm sàng trên dòng tế bào (in vitro), động vật (in vivo) và con người. (có sự hướng dẫn, hợp tác và các giấy tờ chứng minh từ các viện, các trường, các bệnh viện như: Viện Nghiên cứu khoa học Tây Nguyên, viện nghiên cứu Hạt nhân Đà Lạt, trường đại học Y Dược TP HCM, trường đại học BK – DHQG TP HCM, bệnh viện Nhi Đồng 2).
+ Hoạt tính an thần và kháng ôxi hóa vượt trội nhưng không gây ra tác dụng phụ cho người sử dụng. Sản phẩm hướng đến mục tiêu con người tìm lại được “giấc ngủ tự nhiên.”
+ Có hương vị đặc biệt, dễ dàng tiếp cận và làm hài lòng người tiêu dùng (đã thực hiện khảo sát trên 500 người sử dụng)
+ Quy trình sản xuất đơn giản, xanh, có thể phát triển hay cải tiến từ những dây chuyền sản xuất sẵn có (đã có bản vẽ quy trình sơ bộ, được sự giúp đỡ của công ty Lado Food)
+ Có thể chế tạo thành nhiều dòng sản phẩm khác nhau như: trà túi lọc, trà latte, trà smothies, viên hoàn hay viên nan cứng (tùy vào người tiêu dùng mục tiêu). Hiện nhóm đã chế tạo thành công và có công thức riêng cho các sản phẩm kể trên
+ Bao bì đựng sản phẩm được chế tạo từ bã của cây Lục lạc lá ổi dài (phần bỏ đi sau khi sản xuất trà) và keo sinh học nên rất dễ dàng tái chế và thân thiện với môi trường.
+ Đang trong quá trình đăng kí sáng chế cho nghiên cứu và bao bì (đã nộp đơn và đang trong quá trình hiệu chỉnh)
+ Đã kiểm định và đạt các chỉ tiêu về vệ sinh an toàn thực phẩm theo TCVN.
+ Tương thích với nhu cầu thời đại của một xã hội có nhịp sống nhanh, bận rộn; có thể tạo nên một trend hoặc thương hiệu riêng (phù hợp với gen Y và gen Z)
+ Phù hợp với xu hướng của thế giới là khai thác các sản phẩm có nguồn gốc tự nhiên.
+ Giá cả hợp lý.
GIẢI PHÁP BẠN ĐỀ XUẤT LÀ GÌ
MỤC TIÊU CỦA DỰ ÁN:
- Nghiên cứu, phát triển các dòng sản phẩm khác có tác dụng an thần giải lo âu cũng như chống lão hóa, nâng cao sức khỏe từ loại dược liệu tiềm năng này.
- Nghiên cứu, phát triển nguồn dược liệu quý (lựa chọn, quy hoạch vùng trồng trọt; đảm bảo sản lượng thu hoạch, phát triển kinh tế – xã hội và bảo vệ môi trường một cách bền vững).
- Đầu tư cho việc quảng cáo và marketing sản phẩm, góp phần “educate” người tiêu dùng để tăng tính nhận diện thương hiệu.
- Đưa sản phẩm tiếp cận đến người tiêu dùng tại thị trường trong nước và các thị trường mục tiêu (Hàn Quốc, Nhật Bản, …)
- Tuyên truyền, giảm thiểu tình trạng stress, lo âu, căng thẳng.
TÍNH ĐỘC ĐÁO, SÁNG TẠO CỦA DỰ ÁN:
Phương pháp nghiên cứu:
- Sử dụng phương pháp chiết siêu âm có hỗ trợ gia nhiệt làm tăng hiệu suất chiết xuất, công nghệ chiết xuất hiện đại, chọn được tỉ lệ dung môi phù hợp, dung môi không ảnh hưởng tới chất lượng sản phẩm, có thể thay thế các loại dung môi để da dạng hoá sản phẩm (đang trong quá trình thẩm định hồ sơ đăng kí sáng chế).

Hình 4. Phương pháp chiết siêu âm có gia nhiệt
- Phương pháp kiểm nghiệm: để đánh giá hoạt tính an thần của các sản phẩm, trên thế giới thông thường chỉ đánh giá trên mô hình “in vitro”. Cụ thể hơn, cơ chế an thần chưa được xác minh một cách chính xác, mà chỉ dựa vào các suy đoán. Trong sản phẩm này, nhóm đã đồng thời tìm ra phương pháp “ in vivo” mới, ưu việt, hiệu quả và có thể giải thích chính xác cơ chế an thần cũng như đối sánh, giải thích cho phương pháp “in vitro” truyền thống. (đang trong quá trình thẩm định sáng chế).
Hiệu quả về sức khỏe:
- Hiệu quả giải lo âu, giảm căng thẳng hoàn toàn vượt trội so với các sản phẩm khác trên thị trường.
- Khả năng chống lão hóa cao mà không cần phải bổ sung bất kì hoạt chất có nguồn gốc hóa học nào.
- Có 100% nguồn gốc tự nhiên và hoàn toàn thân thiện với sức khỏe người tiêu dùng.
- Chưa tìm thấy tác dụng phụ với người tiêu dùng.
- Tăng cường hệ miễn dịch do có hoạt tính kháng khuẩn tự nhiên.
Khả năng cải tạo đất:
Là một loại thực vật có khả năng kết hợp với các loại cây công nghiệp khác, giữ vai trò cải tạo và phục hồi chất lượng đất, tăng độ màu mỡ cho đất, nâng cao giá trị sử dụng của đất nông nghiệp trong canh tác và sản xuất.
Hiện tại, nhóm đã thí điểm trồng thành công 1000 m2 dược liệu tại huyện Đức Trọng, tỉnh Lâm Đồng với sản lượng trung bình 6 tấn/ ha/ năm (một năm 2 vụ). Sản lượng dược liệu thu hoạch tương đương với sản lượng cà phê trong cùng diện tích.
Hình 5. Trồng thí điểm cây lục lạc lá ổi dài
Sản phẩm ưu việt:
Có thể điều chế thành nhiều dạng khác nhau tuỳ vào mục đích sử dụng như:
- Trộn với mật ong làm viên hoàn.
- Chiết xuất đơn chất điều chế thuốc ngủ dạng viên.
- Trà túi lọc cải tiến.
- Trà mixing (mix với các loại mứt hoặc trái cấy).
- Trà latte.
Bao bì thân thiện với môi trường
Bao bì được nhóm sử dụng là loại bao bì đặc biệt, được tái chế từ các phế phẩm trong quá trình sản xuất các sản phẩm từ cây lục lạc lá ổi dài. Với chi phí thấp, dễ phân hủy, độ bền cao và thân thiện với người sử dụng, đây được dự đoán là một mắt xích quan trọng của dự án.
Quy mô sản xuất
Dễ dàng chuyển đổi quy mô từ phòng thí nghiệm sang quy mô công nghiệp, đã và đang triển khai thử nghiệm ở công ty Lado Food và bệnh viện Y học cổ truyền Đà Lạt.
Tiêu chuẩn vệ sinh an toàn thực phẩm
Đã hoàn thành bộ quy chuẩn về vệ sinh an toàn thực phẩm.
HIỆU QUẢ CỦA SẢN PHẨM:
Nhóm tác giả dự án đã tiến hành nghiên cứu khả năng an thần giải lo âu (giảm căng thẳng) từ dược liệu Lục lạc lá ổi dài so với các thuốc an thần trên thị trường (trên các mô hình hành vi trên động vật thí nghiệm, phân tích đánh giá trên kết quả giải phẫu mô học của não động vật sau khi dùng sản phẩm)

Hình 6. Kết quả thử nghiệm khả năng an thần và khả năng chống lão hóa vượt trội của dược liệu
+ Phát triển các dòng sản phẩm từ dược liệu và đánh giá các tiêu chuẩn an toàn vệ sinh thực phẩm.



Hình 7. Các dòng sản phẩm từ cây Lục lạc lá ổi dài
Đánh giá tác động của sản phẩm đối với môi trường
Quy trình sản xuất được tối ưu hóa, sử dụng các dung môi xanh kết hợp với phương pháp chiết suất hiện đại nên tác hại đối với môi trường được giảm thiếu tối đa so với các phương pháp khác trên thị trường.

Hình 8. Tác động của sản phẩm đến môi trường
Bao bì đựng sản phẩm được chế tạo từ các phụ phẩm trong quá trình sản xuất sản phẩm của cây Lục lạc lá ổi dài, không sử dụng nhựa, nên dễ dàng tái chế và đem lại hiệu quả kinh tế cao cũng như tính bền vững.
Đánh giá thị hiếu người tiêu dùng
Để đánh giá tính hiệu quả của sản phẩm cũng như ý kiến của khách hàng trong quá trình trải nghiệm thử sản phẩm, nhóm đã tiến hành thực hiện khảo sát cho 200 người. Kết quả cho thấy thang điểm trung bình của sản phẩm là 7,5/9, cao vượt trội hoàn toàn các đối thủ cạnh tranh. Không những thế tần suất quay lại mua sản phẩm của khảo sát lên đến 180/200.


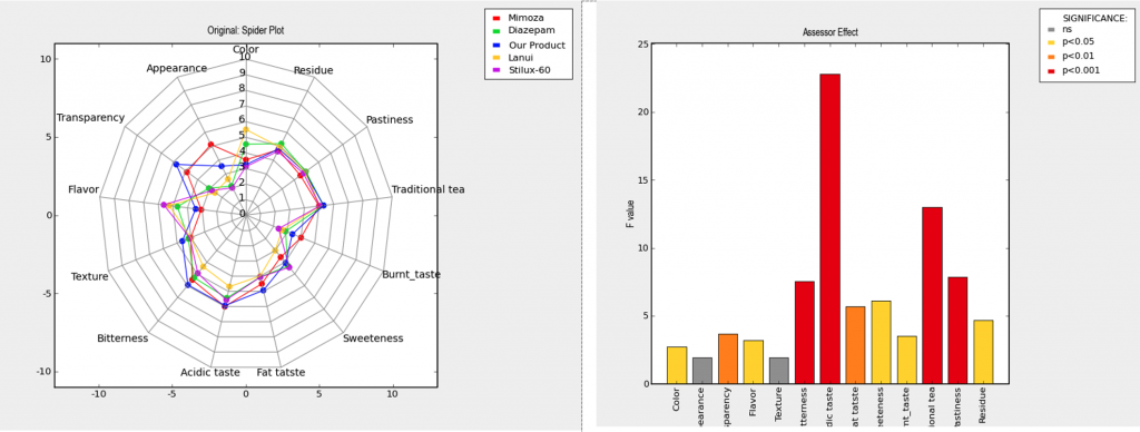
Hình 9. Đánh giá thị hiệu người tiêu dùng bằng phần mềm chuyên dụng
Kết quả từ hệ thống phân tích các thuộc tính sản phẩm bằng phần mềm chuyên dụng “Consumer Check”, “Panel Check” và đánh giá bởi hội đồng cảm quan (so sánh với các sản phẩm khác). Ở đây, nhóm không chỉ dừng lại ở việc khảo sát người tiêu dùng đánh giá như thế nào về sản phẩm mà còn hiểu rõ được yếu tố nào của sản phẩm (màu, mùi, hương vị, bao bì,…) được người tiêu dùng yêu thích/ không yêu thích. Từ đây, sản phẩm ngày càng được hoàn thiện.
MÔ HÌNH KINH DOANH:
Tổ chức quản lý và nhân sự vận hành dự án:
Hình thức tổ chức quản lý dự án (hiện tại):

Kênh phân phối: Kênh nhà thuốc, Kênh bác sĩ, Kênh online
Mục tiêu phát triển trong 5 năm:

Dự toán tài chính:
- Dự toán chi phí đầu tư trang thiết bị ban đầu (sẽ thuyết minh sau)
- Dự toán chi phí nguyên liệu và vận hành (sẽ thuyết minh sau)
- Dự toán chi phí bán hàng và marketing (sẽ thuyết minh sau)
(Phần thuyết minh sau vì lý do hạn chế kí tự của bản đăng kí này)
- Dự toán hiệu quả kinh tế

Các chỉ số kinh tế cơ bản


TÀI LIỆU TRÍCH DẪN:
[1] Santa Clarita, Princess Cruises Expands Annual Relaxation Report Internationally, Princess Cruises Newswire, Aug. 2, 2018. https://www.prnewswire.com/news-releases/princess-cruises-expands-annual-relaxation-report-internationally-300690847.html
[2] Trường Đại học Y khoa Hà Nội – Bộ môn Dược lý, Dược lý học, Nhà xuất bản Y học, 2016.
[3] Viện Dược Liệu, Danh mục cây thuốc Việt Nam, NXB KH&KT, 2018.
[4] N. L. Hoang, V. V. Tien, L. T. Hien, N. D. Quan and T. T. N. Yen, Extraction Crotalaria assamica Benth. seeds, inspecting antioxidant activity and antibacterial activity, and analyzing some basic ingredients of the product, The 6th Science and Technology Symposium for OISP Student, Session 4, 2020, 59.
